Contoh Surat Lamaran Bidan Ptt

Oct 10, 2020

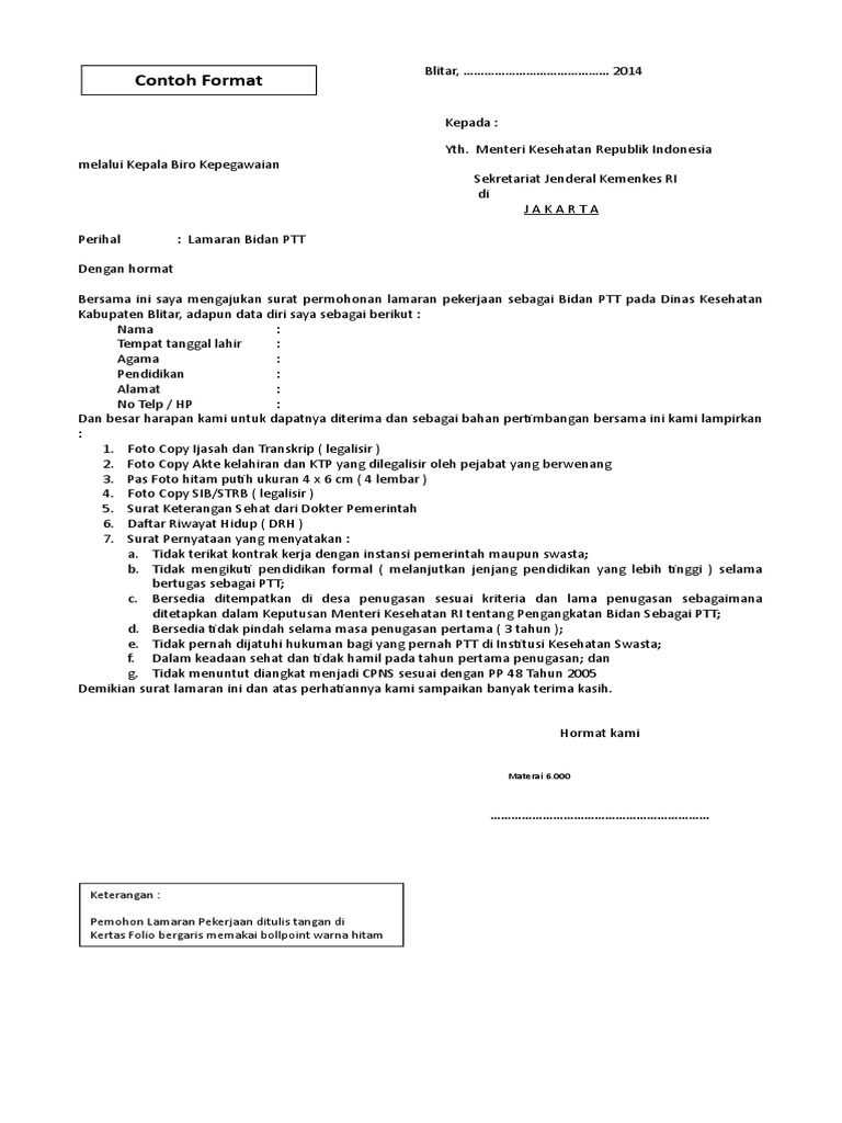
Contoh Format Lamaran Bidan Ptt Contoh Format Lamaran Bidan Ptt Contoh Surat Lamaran Kerja Bidan Ptt Pusat – Backup Gambar Contoh Surat Lamaran Kerja Bidan Paling Lengkap dengan file word - Contoh Surat contoh-format-lamaran-bidan-ptt.doc Surat Lamaran Kerja Bidan | Kebidanan, Pendidikan, Riwayat hidup Contoh Surat Lamaran Kerja Bpjs Kesehatan Ptt - Contoh Seputar Surat DOC) Surat lamaran pekerjaan | niken alvel - Academia.edu Contoh Surat Permohonan Perpanjangan PTT Provinsi Jawa Barat Surat Lamaran Kerja Bidan | Kebidanan, Surat, Tanggal Contoh Lamaran Kerja Bidan Di Rumah Sakit - Sekitar Rumah 01. Permohonan Pindah Tempat Tugas Bidan PTT LUSSY Contoh Surat Lamaran Kerja Bidan Untuk Dinas Kesehatan - Kumpulan Surat Penting Contoh Surat Permohonan Perpanjangan PTT Provinsi Jawa Barat Contoh Surat Lamaran Kerja Bidan Ptt – Backup Gambar Surat Lamaran PTT Contoh Surat Lamaran Di Klinik Bidan Contoh Surat Lamaran Kerja Bidan Di Klinik - Contoh Seputar Surat Kurniawan Tungka (kurniawantungka) di Pinterest Surat Lamaran PTT Daerah Penerimaan Pegawai Tidak Tetap (PTT) Tenaga Perawat dan Bidan Rumah Sakit Pratama Tumbang Talaken - Lowongan Kerja Kalimantan Tengah 10 contoh surat lamaran kerja season 1 30+ Contoh Surat Lamaran Bidan Ke Dinkes - Kumpulan Contoh Gambar BKPP | BKPP LEBAK Contoh Surat Lamaran Bidan PTT | Wiki Edukasi Share Lamaran kerja indo ferro Contoh Surat Lamaran Kerja Bidan Puskesmas 25+ Contoh Surat Permohonan Pindah Tugas PNS dan Guru - Contoh Surat Informasi Penerimaan Bidan PTT Dinas Kesehatan Bojonegoro – Blog-nya Nove Zain Wisuda Fuad Ansari – Laman 3 – BADAN KEPEGAWAIAN DAN PENGEMBANGAN SUMBER DAYA MANUSIA KABUPATEN PIDIE JAYA 10+ Gambar surat lamaran terbaik | riwayat hidup, cv kreatif, surat Contoh Format Lamaran Bidan Ptt Contoh Surat Pengunduran Diri Rumah Sakit Yang Baik Dan Benar | detikLife BKPP | BKPP LEBAK 10+ Contoh Surat Lamaran Kerja Bidan Yang Baik Dan Benar - Contoh Surat Contoh Surat Permohonan Sk Dinas - Guru Ilmu Sosial Lowongan Kerja Bidan dan Perawat – Loker Jonegoro 10+ Contoh Surat Pengalaman Kerja Di Perusahaan, Rumah Sakit, Guru dan Lain Sebagainya. CONTOH SURAT LAMARAN KERJA 003 3 contoh surat lamaran honorer di pemerintahan - http://contohsurat.s… contoh surat lamaran kerja di pt garuda indonesia ==================================== Contoh Surat Lamaran Kerja Di PT Terbaru dan Terb… | Pramugari, Surat, Bahasa Pengumuman-Kebidanan Magetan « Jurusan Kebidanan Poltekkes Kemenkes Surabaya Untitled Contoh Proposal Lamaran Kerja - Guru Ilmu Sosial Contoh Surat Lamaran Kerja Lulusan Smk Jurusan Tkj Gawe Cv – Cute766 Contoh Surat Lamaran Kerja Ke Pemerintahan Daerah - Kumpulan Surat Penting SURAT PERMOHONAN PTTD.docx - Contoh format surat permohonan dibawah ini sengaja saya tulis bagi anda yang ingin menjadi Tenaga Bidan Pegawai Tidak Tetap | Course Hero LOKER 3 POSISI RSUD SEKAYU JUNI 2020 - SUMSEL LOKER Bidan Hebat - Posts | Facebook Penerimaan PTT Bidan, Perawat dan Ahli… - Dinas Kesehatan Kabupaten Banjar | Facebook 7+ Contoh Surat Izin Cuti Melahirkan yang Baik dan Benar Contoh Surat Permohonan Perpanjangan PTT Provinsi Jawa Barat Contoh Surat Pengunduran Diri Dari Bidan Ptt - Download Kumpulan Gambar 10+ Gambar surat lamaran terbaik | riwayat hidup, cv kreatif, surat admin – BADAN KEPEGAWAIAN DAN PENGEMBANGAN SUMBER DAYA MANUSIA KABUPATEN PIDIE JAYA Surat Permohonan Perpanjangan SEKRETARIAT DAERAH contoh surat ran bidan ptt DOC) soal tkb bidan | khairun nisak - Academia.edu Contoh Surat Lamaran Kerja Bidan Terbaru – Backup Gambar 13+ Contoh Surat Pengalaman Kerja Perusahaan, Administrasi & Lainnya Blanko ijin new.doc - Perihal Permohonan Pencabutan SIP Kepada yth Kepala Dinas Kesehatan Kabupaten Tangerang Di \u2013 Tempat Dengan hormat Yang bertanda | Course Hero 16 Contoh Surat Lamaran Kerja Perawat Di Rumah Sakit Terbaru Lowongan Kerja RSUD Cilacap Posisi Perawat, Bidan, Nutrisionis dan Tenaga Non Medis - REKRUTMEN LOWONGAN KERJA BULAN OKTOBER 2020 15+ Contoh Surat Pelimpahan Tugas Dokter Ke Perawat 16 Contoh Surat Cuti Melahirkan PNS, Guru, dan Pegawai - Contoh Surat Contoh Surat Lamaran Bidan PTT - YouTube Akbid Helvetia Medan - Publicaciones | Facebook Contoh Surat Rekomendasi Str Portal Karir Poltekkes Kemenkes Semarang 10+ Gambar surat lamaran terbaik | riwayat hidup, cv kreatif, surat Contoh Sk Bupati Untuk Tenaga Honorer - Guru Ilmu Sosial Lowongan Kerja PTT Dinas Kesehatan RSUD K.H. Mansyur Kintap Oktober 2019 - REKRUTMEN LOWONGAN KERJA BULAN OKTOBER 2020 Contoh Surat Lamaran Bidan Ptt Surat lamaran ditujukan kepada Kepala Dinas … Keterangan pengalaman kerja dari institusi … Pernyataan tidak sedang hamil dan bersedia tidak - [PDF Document] Pengumuman Penerimaan CPNS Pemko Palembang 2019 [916 Formasi] PENGUMUMAN NO : 440/ 206 /TU-1/I Berdasarkan Surat dari Dinas Kesehatan Provinsi kalimantan Tengah Nomor : 18/PSDMK-1/1/ PDF Download Gratis 35+ Contoh Surat Pengunduran Diri / Resign yang Baik dan Jelas (LENGKAP) … Lampiran-II-VII (1).doc - Contoh Surat Lamaran Wajib ditulis dengan tangan sendiri menggunakan tinta warna hitam Lampiran II Pengumuman Bupati Rembang | Course Hero WALIKOTA BALIKPAPAN Download Contoh Resmi Surat Lamaran CPNS Kemenkumham Tahun 2017 - Blog Pak Pandani PDF) PEMERINTAH PROVINSI NUSA TENGGARA TIMUR SEKRETARIAT DAERAH | bersa marselin - Academia.edu Akbid Helvetia Medan - Publicaciones | Facebook Untitled Akbid Helvetia Medan, Jln. Kapt. Sumarsono No. 107 Kampung Lalang. Sunggal, Medan (2020) contoh surat ran fresh graduate bahasa indonesia dan inggris Contoh Surat Cuti Melahirkan yang Baik dan Benar Untuk pegawai Negeri/Swasta PNS ataupun Karyawan - Contoh Surat Surat Lamaran Kerja Non Formal | Surat, Cv kreatif, Tulisan Lowongan Kerja Bidan - Lowongan Kerja Makassar 35+ Contoh Surat Pengunduran Diri / Resign yang Baik dan Jelas (LENGKAP) … Contoh Surat Permohonan Pindah Kerja Honorer 10+ Contoh Surat Cuti Melahirkan, Kerja, Menikah & Berbagai Keperluan 5+ Contoh Surat Lamaran Kerja Guru SD,TK Dan PAUD Yang Benar - EvanAzka Pengumuman Lokasi Dan Waktu Bagi Peserta Rekrutmen Pegawai Tidak Tetap (PTT) RSUD KH. Mansyur Kintap Kab. Tanah Laut 40+ Contoh Surat Pengunduran Diri / Resign Yang Baik & Benar 25+ Contoh Surat Permohonan Mutasi Kerja PNS dan Guru - Contoh Surat Surat pernyataan bersedia mengabdi kembali Penetapan Kebutuhan Pns Bidang Kesehatan Dari Ptt Kementerian Kesehatan Di Lingkungan Pemerintah Kabupaten Majalengka Tahun 2019 - bkpsdm.majalengkakab.go.id Surat Lamaran Ptt Kepri 2 Contoh Surat Lamaran Kerja Bidan Untuk Dinas Kesehatan - ID Lowker

Contoh Surat Lamaran Kerja Pln Via Email

Contoh Surat Lamaran Kerja Perawat Bahasa Inggris Dan Artinya