Contoh Surat Lamaran Cpns Pemprov Lampung

Oct 10, 2020

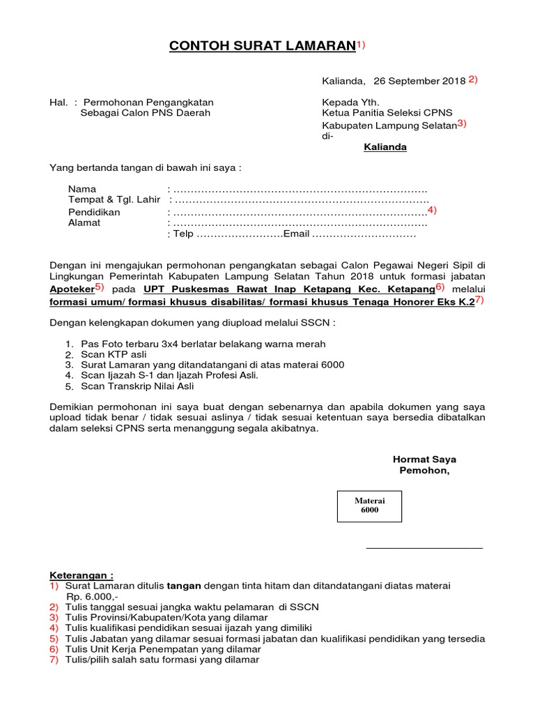
Contoh Surat Lamaran Pemberkasan CPNS PROVINSI LAMPUNG Tahun 2018.pdf Contoh Surat Lamaran CPNS Kabupaten/Kota November 2019 - Ranikidia.com Cpns pemprov lampung 2013 Contoh Format Surat Lamaran untuk CPNS 2019 - Ranikidia.com Contoh Form Surat Lamaran CPNS Pemprov NTB | SelongJobs.com Format Surat Lamaran CPNS 2018 Kabupaten / Kota di Provinsi Lampung - GURU MAJU Pesona Lampung: Contoh Surat Lamaran PNS Begini Contoh Surat Lamaran CPNS Pemprov Sulbar Contoh-contoh Surat Lamaran CPNS 2019 di 8 Lembaga Kementerian, Unduh di Sini - Tribunnews.com Mobile Contoh Surat Lamaran Cpns Kota Bandar Lampung - Kumpulan Surat Penting Format Terbaru Contoh Surat Lamaran CPNS Kementerian Hukum dan HAM Tahun 2017 - REKRUTMEN LOWONGAN KERJA BULAN OKTOBER 2020 Tak Perlu Bingung, Ini Contoh Surat Lamaran CPNS 2019 Ini Contoh Surat Lamaran CPNS 2019 Instansi Kabupaten/ Kota: Tenaga Kesehatan, Guru, Tenaga Teknis - Halaman all - Tribun Timur CONTOH Surat Lamaran CPNS (KSB) | SelongJobs.com Format Terbaru Contoh Surat Lamaran CPNS Kementerian Hukum dan HAM Tahun 2017 - REKRUTMEN LOWONGAN KERJA BULAN OKTOBER 2020 Pendaftaran CPNS 2019 – Berikut Contoh Surat Lamaran dan Surat Pernyataan CPNS 2019 - Serambi Indonesia Contoh Format Surat Lamaran CPNS 2018 Provinsi Banten - GURU MAJU CONTOH SURAT LAMARAN CPNS 2019 - YouTube Tak Perlu Bingung, Ini Contoh Surat Lamaran CPNS 2019 Cpns pemprov lampung 2013 Pendaftaran CPNS 2019 – Berikut Contoh Surat Lamaran dan Surat Pernyataan CPNS 2019 - Serambi Indonesia Berikut Contoh Surat Lamaran & Surat Pernyataan CPNS 2019, Lengkap untuk SMA, S1, S2, dan Diploma - Tribun Jakarta Download Contoh Surat Lamaran dan Pernyataan Seleksi CPNS 2019 PROVINSI KABUPATEN KOTA PDF Word Format Terbaru Contoh Surat Lamaran CPNS Kementerian Hukum dan HAM Tahun 2017 - REKRUTMEN LOWONGAN KERJA BULAN OKTOBER 2020 Contoh Surat Lamaran dan Surat Pernyataan CPNS Download Link Contoh Surat Lamaran CPNS KEMENKUMHAM 2019 Lulusan SMA D3 S1 Cara Bikin Surat Lamaran CPNS 2019 untuk Mendaftar di SSCASN, Download Contoh di LINK Instansi Resmi - Halaman all - Tribun Jogja Contoh Format Surat Lamaran Cpns 2018 Contoh Surat Lamaran CPNS Kota Bandar Lampung 2018 CONTOH BENTUK SURAT LAMARAN PENDAFTARAN CPNS 2018, DOWNLOAD DISINI - YouTube PORTAL Berita Resmi Pemerintahan Kota Bandar Lampung Download Contoh Surat Lamaran dan Surat Pernyataan 13 Poin CPNS Kemenkumham - Tribun Sumsel FORMAT SURAT LAMARAN CPNS 2019 - YouTube Cpns pemprov lampung 2013 Contoh Surat Lamaran Pemberkasan CPNS PROVINSI LAMPUNG Tahun 2018.pdf Contoh Surat Lamaran Cpns 2019 Kabupaten Pesawaran Contoh Surat Lamaran CPNS Kabupaten Majalengka 2019 Kaur | Kabar Tobo Kito Download Contoh Surat Lamaran CPNS 2018, Pelengkap Dokumen Pendaftaran di SSCN.GO.ID - Tribun Jogja Contoh Surat Lamaran Pemberkasan CPNS PROVINSI LAMPUNG Tahun 2018.pdf Cpns pemprov lampung 2013 Badan Kepegawaian Pringsewu | PENGUMUMAN BERSAMA PENERIMAAN CALON PEGAWAI NEGERI SIPIL DAERAH PEMERINTAH PROVINSI LAMPUNG DAN PEMERINTAH KABUPATEN ATAU KOTA SE-PROVINSI LAMPUNG Contoh Surat Lamaran: Kalianda Lengkap Contoh Surat Lamaran CPNS dan Surat pernyataan Formasi CPNS - Ruanganbaca Contoh Surat Lamaran untuk Daftar CPNS Kemendikbud 2019, Tersedia 2.196 Formasi - Halaman all - Tribunnews.com Mobile Pendaftaran CPNS 2019 Lampung | Lulusan SMA SMK D2 D3 S1 S2 S3 Contoh Surat Lamaran Kerja Sebagai Honorer Pemda Terbuka bagi Banyak Jenjang Pendidikan, Ini Formasi CPNS Kemenkumham Cpns pemprov lampung 2013 50+ Contoh Surat Lamaran Kerja Yang Benar Terbaru + Doc Berikut Contoh Surat Lamaran & Surat Pernyataan CPNS 2019, Lengkap untuk SMA, S1, S2, dan Diploma - Tribun Jakarta Contoh Surat Lamaran Cpns Rokan Hilir 4. Lampiran 3 Contoh Surat Lamaran, Riwayat Hidup, Dan Surat Pernyataan Contoh Amplop Pengiriman Berkas Cpns 2019 - Guru Ilmu Sosial Contoh Surat Lamaran Kerja yang Baik dan Benar (TERLENGKAP !) Catat, Ini Jadwal Penerimaan CPNS BKN 2019 dan Syarat yang Harus Disiapkan Halaman all - Kompas.com Cpns pemprov lampung 2013 Contoh Surat Lamaran CPNS 2019 | Lulusan SMA SMK D3 S1 S2 Pendaftaran CPNS 2019 – Berikut Contoh Surat Lamaran dan Surat Pernyataan CPNS 2019 - Serambi Indonesia Surat Lamaran CPNS Kabupaten Waykanan 2018.docx Basarnas Buka 391 Formasi di CPNS 2019, Ini Perincian Lengkapnya Halaman all - Kompas.com Cpns pemprov lampung 2013 Contoh surat lamaran pernyataan CPNS Kejaksaan Agung Kejagung 2018 Pemerintah Kabupaten Lampung Tengah Penetapan Kelulusan CPNS Pemprov Lampung - CPNS Bersih Pengumuman Jadwal dan Lokasi Seleksi Administrasi CPNS Kejagung 2018 Verifikasi Dokumen Pengukuran Tinggi Berat Badan - Tipssehatcantik.com Cpns pemprov lampung 2013 Pengumuman Hasil Tes CAT SKD CPNS KEMENKUMHAM 2018 Seleksi Kompentensi Dasar - Tipssehatcantik.com Format Terbaru Contoh Surat Lamaran CPNS Kementerian Hukum dan HAM Tahun 2017 - REKRUTMEN LOWONGAN KERJA BULAN OKTOBER 2020 Contoh Surat Lamaran Cpns Umum 2018 - Kumpulan Surat Penting Lowongan Kerja Lowongan D3 S1 CPNS PEMKO PALEMBANG Tahun 2019 Cpns pemprov lampung 2013 PENDAFTARAN CPNS: Unduh Surat Lamaran dan Dokumen Lain di Sini - Kabar24 Bisnis.com Contoh Sk Pns 2019 - Guru Ilmu Sosial 37 Contoh Surat Lamaran Kerja Berbagai Profesi Lengkap & Cara Membuatnya Lowongan Kerja Lowongan D3 S1 S2 CPNS Pemko MAKASSAR Tahun 2019 Download Contoh Format Surat Lamaran Pernyataan Seleksi CPNS Kemenag 2018 Kementerian Agama - Tipssehatcantik.com Format Surat Lamaran CPNS Kabupaten Magetan 2019 Cpns lampung 13 6+ Contoh Surat Peminjaman Barang yang Dapat Dijadikan Referensi Penetapan Kelulusan CPNS Pemprov Lampung - CPNS Bersih Lowongan CPNS Badan Pengawas Obat dan Makanan Republik Indonesia Tahun Anggaran 2019 [ 277 Formasi] - REKRUTMEN LOWONGAN KERJA BULAN OKTOBER 2020 6+ Contoh Surat Keluar Perusahaan, Dinas, Sekolah & Keperluan Lainnya Cpns pemprov lampung 2013 CPNS 2019 Pemkot Surakarta, Ini Jadwal, Syarat dan Tata Cara Pendaftarannya Halaman all - Kompas.com Contoh Surat Cerai Tulisan Tangan - Guru Ilmu Sosial Jadwal dan Lokasi Tes SKD CPNS KPU 2018 Peserta Lulus Seleksi Administrasi SSCN. - Tipssehatcantik.com Lowongan Kerja Lowongan CPNS Kota Malang Tahun 2019 Contoh Surat Lamaran CPNS 2019 Tulis Tangan atau Ketik [Format Doc-Pdf] | FORMAT ADMINISTRASI DESA Download Contoh Format Surat Lamaran Pernyataan Seleksi CPNS Kemenag 2018 Kementerian Agama - Tipssehatcantik.com Kelengkapan Berkas Cpns Kemenkumham 2019 - Guru Ilmu Sosial 35+ Contoh Surat Lamaran Kerja 2020 Berbagai Posisi - Contoh Surat Lowongan Kerja Lowongan CPNS Kementerian Pendidikan dan Kebudayaan RI Tahun 2019 Contoh Cara Menulis Amplop Lamaran | Radio Lombok 4 Contoh Surat Lamaran CPNS 2019 Resmi (Format dari Kemendikbud) Catat, Ini Jadwal dan Syarat CPNS 2019 BKKBN Halaman all - Kompas.com KEMENTERIAN AGAMA REPUBLIK INDONESIA Yang terhormat, Kepala Dinas Kesehatan Provinsi di- Seluruh Indonesia - PDF Free Download Contoh Sk Cpns 2019 Pdf - Guru Ilmu Sosial Bimbel CPNS Yogyakarta: Lowongan Cpns Jogja

Contoh Surat Lamaran Tni Ad Tamtama

Contoh Surat Lamaran Kerja Informasi Dari Orang